服務熱線:15195518515在線客服:1464856260
傳真號碼:0517-86801009
郵箱號碼:1464856260@qq.com
網 址:http://m.bjtyj.com.cn
地 址:江蘇省金湖縣理士大道61號
分析凝結水液位計試驗與回座失效的原因分析
摘 要: 凝結水液位計是工業生產重要的安全保護元件,GB /T 28778-2012 對于凝結水液位計的回座壓力有比較嚴格的要求,實際試驗過程發現,一些凝結水液位計啟閉壓差過大、回座壓力太小,甚至個別凝結水液位計存在起跳不回座現象。以某公司 AF46Y-25 型凝結水液位計為例,研究其導閥結構,分析其動作過程,開展動作性能試驗,并進行受力計算分析,探討該凝結水液位計回座失效的原因。
引言
凝結水液位計是一種非直接作用式安全閥,由一個主閥和導閥組成,依靠從導閥排出介質來驅動或控制主閥啟閉,適用于高背壓、大口徑、大流量和安裝位置緊湊的工況,被廣泛應用于石油、化工、冶金和核電等領域。在工況系統中,安全閥應該具備開啟準確、排放穩定、回座及時和密封可靠等性能。若安全閥回座壓力過高,啟閉壓差太小,會使閥門發生頻跳,不利于關閉后重新建立密封; 若回座壓力過小,啟閉壓差太大,則會使系統或設備的介質和能量損失過 多,給系統或設備恢復正常運行帶來諸多困難。
凝結水液位計常見的故障包括: 主閥導閥泄漏、導閥超壓不動作、主閥未隨導閥動作。主閥導閥泄漏失效原因: 密封面臟污或損傷,零部件卡阻、密封墊圈老化變形; 導閥超壓不動作失效原因: 導閥密封面銹蝕粘合或材料變形、導閥彈簧過緊或卡阻、導閥下導管堵塞; 主閥未隨導閥動作失效原因: 主閥運動卡阻、導閥排氣量過小。然而,安全閥起跳不回座故障在試驗過程及工業現場也是非常常見的,國內對于凝結水液位計起跳不回座失效分析的相關研究較少。本研究以某公司生產的 AF46Y-25 型凝結水液位計為研究對象,研究導閥結構并分析其動作過程。在對其開展動作性能試驗時,發現該安全閥實際回座壓力遠低于標準要求,排放時間過長,回座失效。因此,對其進行受力分析,以探討回座失效的原因。
1 導閥結構及動作過程分析
1. 1 導閥結構
AF46Y-25 型凝結水液位計如圖 1 所示,其導閥結構如圖 2 所示。

1. 2 動作過程分析
當被保護系統處于正常運行狀況時,導閥閥腔內的堵頭密封面處于開啟狀態,系統壓力從主閥進口通過下導管、導閥閥腔和上導管傳入主閥閥瓣( 活塞) 上方氣室,此時上方氣室氣體壓力等同于主閥進口的系統壓力。導閥密封面處于密封狀態,確保主閥上方氣室的氣體無法從導閥泄放口排出。此時主閥閥瓣受彈簧預緊力、上方氣室氣體對閥瓣向下作用力以及主閥入口對閥瓣向上的作用力合力的作用,該合力方向向下,使主閥處于關閉、密封狀態。
當系統壓力升高達到整定壓力時,氣體在導閥密封面處向上頂起導閥的閥芯,使導閥密封面處于開啟狀態,同時導閥閥腔內的堵頭向上移動,堵頭密封面處于密封狀態。主閥閥瓣上方氣室的介質經由打開的導閥密封面排出,使主閥閥瓣上方壓力降低。主閥閥瓣在進口壓力的推動下打開而使系統卸壓。
當系統壓力降低到一定值時,導閥閥芯在彈簧的作用下向下回座,導閥密封面關閉,導閥閥腔的堵頭密封面打開,系統壓力再次通過導閥閥腔傳入主閥閥瓣上方氣室,并推動主閥閥瓣關閉。在安全閥生產調試以及安裝使用中通常忽略響應時差,導閥開始開啟排放,就認為主閥也已經開啟,導閥一旦回座,則認為主閥也回座。
2 動作試驗及受力計算分析
2. 1 動作試驗
安全閥冷態試驗裝置( 見圖 3) 主要由壓縮氣源、儲氣罐、節流控制閥、試驗罐、閥門和管道、數據采集系統、控制系統等組成,可對公稱壓力 PN≤20 MPa,公稱通徑 DN≤150 mm 的安全閥進行整定壓力試驗、排放壓力試驗、回座壓力試驗、開啟高度試驗、排量及排量系數試驗,檢測參數和自動化程度達到國內**水平。

運用安全閥冷態試驗裝置對該凝結水液位計進行動作性能試驗,將試驗容器內的介質壓力卸放到整定壓力以下,開啟試驗容器和安全閥進口端的球閥,關閉流量計管路閥門,開啟主測試管路截止閥,開啟儲氣容器通向試驗容器的節流閥,逐漸加壓,同時啟動計算機數據采集系統,被試安全閥開啟,繼續升高壓力,直至被試安全閥保持全開啟( 排放) 狀態,然后關閉儲氣容器通向試驗容器的閥門,被試安全閥亦逐漸關閉。計算機自動生成試驗過程的壓力、位移曲線,試驗人員記錄采集開啟壓力、排放壓力、回座壓力、開啟高度等數據。重復上述試驗至少 3 次,得到相應壓力-位移-時間曲線,見圖 4。左縱坐標為位置,右縱坐標為壓力,其中上部曲線代表導閥位移,下部曲線代表壓力變化。當導閥位置發生變化,代表導閥開始開啟動作,此時的壓力為該凝結水液位計的開啟壓力,即整定壓力; 當導閥位置回到原點代表導閥已經回座,此時對應的壓力即為回座壓力。

2. 2 技術要求
安全閥啟閉壓差為整定壓力與回座壓力之差,即: △pb1 = ps - ph根據 GB /T 28778-2012 的規定,對于可壓縮性介質的安全閥,其啟閉壓差*小值為 2. 0% 整定壓力,*大值為 15% 整定壓力或 0. 03 MPa 中的較大值。對于該凝結水液位計,其整定壓力 1. 6 MPa,則啟閉壓差、回座壓力應分別滿足:

由圖 4 曲線可知,該凝結水液位計回座壓力僅為0. 312 MPa,遠遠低于標準規定值,安全閥排放時間過長,能量和資源浪費嚴重。
2. 3 受力計算分析
忽略重力和摩擦力因素的影響,對導閥的動作過程進行受力分析,導閥結構如圖 5 所示。當系統壓力升高達到整定壓力時,氣體在導閥密封面處克服導閥彈簧預緊力向上頂起導閥的閥芯,此時應滿足:


其 中: G 為彈簧材料切變模量,彈 簧 材 料 為60Si2MnA,G = 78. 5*103 MPa; d 為彈簧材料直徑, d = 4 mm; D 為彈簧中徑,D = 25 mm; n 彈簧有效圈數,n = 6; ps 為整定壓力,ps = 1. 6 MPa; d1 為導閥密封面直徑,根據設計圖樣,d1 = 13 mm; f 為導閥彈簧初始變形量,通過計算可得,f = 7. 9 mm。
當系統壓力降低到回座壓力時,導閥彈簧要克服堵頭密封面處的密封力將其打開,此時應滿足:

通過對導閥開啟和回座進行受力計算分析,可知:堵頭密封面平均直徑 d2 應在 13. 8 ~ 14. 8 mm 范圍內才能滿足其回座壓力的要求。而實際堵頭密封面直徑d2 = 27 mm,無法滿足要求。
2. 4 排放時間長原因分析
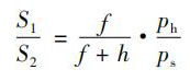
對于啟閉壓差不可調節的凝結水液位計,其導閥2 個密封面的面積的比值直接影響了啟閉壓差的大小。導閥密封面面積與堵頭密封面面積應滿足:

通過計算,該凝結水液位計導閥密封面與堵頭密封面面積比為 0. 23,比值相對較小,造成回座壓力過小,低于標準要求值,回座失效。而系統壓力必須降至回座壓力下,導閥的閥瓣才能回座,并驅動主閥閥瓣關閉,使安全閥停止排放。由于安全閥啟跳壓力為整定值,回座壓力過小,必然使安全閥啟跳壓力與回座壓力差值增大,安全閥排放時間相對延長。
3 結論
通過研究分析可知,導閥密封面與堵頭密封面面積比太大或太小都會導致回座失效,若面積比太大,則回座壓力過高,啟閉壓差太小,容易使閥門發生頻跳;反之,面積比太小則會使回座壓力過小,啟閉壓差太大,安全閥排放時間太長,使系統或設備的介質和能量損失過多。因此在安全閥設計階段就應給予充分的考慮,選擇合適的密封面配比,提高凝結水液位計的性能。
下一步將在該凝結水液位計的基礎上重新設計加工堵頭和導閥零件,改變 2 個密封面的面積配比,并通過試驗分析,找出*佳的密封面配比,驗證以上理論計算分析結果。



|